
Kristin Eklöf
Artificial Intelligence and
Real World Knowledge
About
The vision of salbo.ai is to contribute to a sustainable society by creating data-driven, fact-based decision support, enabling our common assets to last longer and to be utilized more efficiently. With a unique competence in advanced analytics and artificial intelligence applied to asset management in fields such as transportation, infrastructure, construction and manufacturing, salbo.ai creates actionable insights from large and small amounts of data.
I dwell in possibility.
-- Emily Dickinson
showcase
Publications
Doctoral Dissertation: A Microdata Analysis Approach to Transport Infrastructure Maintenance
Svenson, K., Li, Y., Machucova, Z., and Rönnegård, L., Transportation Research Record: Journal of the Transportation Research Board, 2016, Vol.2589, 51-58.
National road databases often lack important information for long-term maintenance planning of paved roads. In the Swedish case, latent variables of which there are no recordings in the pavement management systems database are, for example, underlying road construction, subsoil conditions, and amount of heavy traffic measured by the equivalent single-axle load. The mixed proportional hazards model with random effects was used to capture the effect of these latent variables on a road’s risk of needing maintenance. Estimation of random effects makes it possible to identify sections that have shorter or longer lifetimes than could be expected from the observed explanatory variables (traffic load, pavement type, road type, climate zone, road width, speed limit, and bearing capacity restrictions). The results indicate that the mixed proportional hazards model is useful for maintenance planning because the weakest and strongest sections in a road network can be identified. The effect of the latent variables was visualized by plotting the random effect of each section in a map of the road network. In addition, the spatial correlation between road sections was evaluated by fitting the random effects in an intrinsic conditional autoregressive model. The spatial correlation was estimated to explain 17% of the variation in lifetimes of roads that occur because of the latent variables. The Swedish example shows that the mixed proportional hazards and intrinsic conditional autoregressive models are suitable for analyzing the effect of latent variables in national road databases.Svenson, K., McRobbie, S., and Alam, M., , International Journal of Pavement Engineering, 2019, Vol 20, No. 4, 458-465.
Budget restrictions often limit the number of possible maintenance activities in a road network each year. To effectively allocate resources, the rate of road pavement deterioration is of great importance. If two maintenance candidates have an equivalent condition, it is reasonable to maintain the segment with the highest deterioration rate first. To identify such segments, finite mixture models were applied to road condition data from a part of the M4 highway in England. Assuming that data originates from two different normal distributions – defined as a ‘change’ distribution and an ‘unchanged’ distribution – all road segments were classified into one of the groups. Comparisons with known measurement errors and maintenance records showed that segments in the unchanged group had a stationary road condition. Segments classified into the change group showed either a rapid deterioration, improvement in condition because of previous maintenance or unusual measurement errors. Together with additional information from maintenance records, finite mixture models can identify segments with the most rapid deterioration rate, and contribute to more efficient maintenance decisions.Svenson, K., Journal of Transportation Engineering, 2014, Vol. 140, No. 11, 04014056.
Maintenance planning of road pavement requires reliable estimates of roads’ lifetimes. In determining the lifetime of a road, this study combines maintenance activities and road condition measurements. The scope of the paper is to estimate lifetimes of road pavements in Sweden with time-to-event analysis. The model is stratified according to traffic load and includes effects of pavement type, road type, bearing capacity, road width, speed limit, stone size, and climate zone. Among the nine analyzed pavement types, stone mastic had the longest expected lifetime with a hazard ratio (risk of needing maintenance) estimated to be 36% lower than asphalt concrete. Among road types, 2+1 roads had 22% higher hazard ratio than ordinary roads indicating significantly lower lifetimes. Increased speed lowered the lifetime, while increased stone size (up to 20 mm) and increased road width lengthened the lifetime. The results are of importance for life-cycle cost analysis and road management.Nilsson, J-E., Svenson, K., and Haraldsson, M., Transportation Research Part A: Policy and Practice, 2021, Vol 139, 455-471.
This study estimates the marginal cost of using road infrastructure. Based on a large data set with information on sections of the road network, including age, pavement type, and traffic, a more disaggregate analysis of pavement life than that in the literature is facilitated. The analytical strategy enables identification of major differences in marginal costs across the road network. This establishes that the deterioration of the road quality can be attributed not only to heavy vehicles but also light vehicles such as passenger cars, a possible reason being the widespread use of studded tires in a country with regular freeze-thaw cycles. Due to the limited width of time windows of the dataset observations, no evidence could be found to support the notion that road deterioration is significantly influenced by time alone.Eklöf, K., and Wendel, M., Transportation Research Record: Journal of the Transportation Research Board, 2023, Vol 2679, Vol 4.
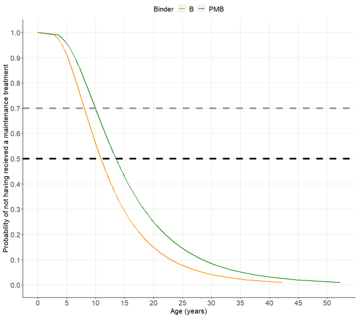
This study uses survival analysis to estimate the lifetime of Swedish asphalt paved roads. The roads were separated by binder type, such as unmodified bitumen and polymer-modified bitumen (PMB). Road pavements with PMB were compared to equivalent roads with regard to annual average daily traffic, heavy vehicles, road type, road width, speed limit, construction year, region, bearing capacity, pavement type, stone size, and rut bottom distance. The analysis was based on almost 500,000 records of pavement maintenance and road condition measurements from the Swedish Transport Administration’s Pavement Management System database, dating back as far as the 1970s. The results showed that PMB in the surface layer was expected to extend road lifetimes by 15% compared with bitumen. PMB in the underlying layer gave an 8% increase in life expectancy compared with unmodified bitumen. PMB in both layers gave a 24% increase in expected road lifetime compared with unmodified bitumen in both layers.
Eklöf, K., Nwichi-Holdsworth A., and Eklöf, J., Transportation Research Record: Journal of the Transportation Research Board, 2021, Vol 2675, Vol 12.
Track geometry measurements are regularly collected to monitor the condition of a railway network. To detect deterioration patterns and enable predictive maintenance, sequential measurement runs must be mutually aligned which has been proven a serious challenge. This paper presents a novel algorithm for mutual alignment of track geometry signal data. It resolves several previously intractable alignment problems: highly segmented data with variable sample rate, spatially correlated and uncorrelated measurement errors, convergence to true locations, and consistency over time. The algorithm adjusts spatial measurement errors by splitting signals in continuous segments. Re-sampled, error-corrected signals are mutually aligned using cross correlation, and this process is repeated until the mutual alignment meets a pre-defined precision threshold. Missing measurement values are handled by imputing an interpolated offset from nearby segments, ensuring that the signals remain continuous. By using weighted average offsets over all aligned signals, the law of large numbers guarantees convergence and consistency. The practical feasibility of the algorithm is demonstrated on empirical track geometry measurement data from the British railway network, owned and operated by Network Rail.
LET'S CHAT!
CONTACT
Get in touch to change the world
© 2018










